企業信息
北京智控理工偉業科教設備有限公司
地址:北京市通州區馬駒橋景盛南二街15號(中關村園區金橋科技產業基地)
電 話:010-82827827 82827835
傳 真:010-68948559
網 址:http://www.bjlg.com
郵 箱:Ligong99@163.com
QQ:476528239 1183686277
更多相關信息
- 無線電發送與接收實驗
- 位置隨動控制系統
- 溫度控制模型
- 信號與系統·控制理論計算機控制技術實驗箱(配USB數據采集卡、聯網型)
- 信號與系統控制理論實驗箱
- 電能表接線仿真培訓裝置
- 低壓計量反竊電仿真培訓裝置
- 10kV高壓柜實訓裝置
- 低壓電路實訓裝置
- 斷路器漏電保護培訓裝置
- 二次負荷及壓降模擬系統
- 門禁控制系統考核培訓裝置
- 巡更管理系統考核培訓裝置
- 通風排煙系統考核培訓裝置
- 氣體滅火系統培訓裝置
- 采油實訓裝置
- 傳熱操作實訓裝置
- 吸收工考核培訓裝置
- 萃取工考核培訓裝置(DCS控制)
- 輪胎硫化機實訓裝置
- 全數字交流變頻控制提升機實訓裝置
- 架線式煤礦電機車變頻調速系統實訓裝置
- 礦井提升機系統實訓裝置(直流調速)(工程型)
- 三專兩閉鎖演示裝置
- 井下雙回路供電演示裝置
- 礦井膠帶輸送機電氣控制實訓裝置
- 礦井通風機電氣控制實訓裝置
- 絡筒機電氣技能實訓裝置
- 劍桿織機電氣技能實訓裝置
- 絡筒機電氣技能實訓裝置
- 整經機電氣技能實訓裝置
- 細紗機電氣技能實訓裝置
- 梳棉機電氣技能實訓裝置
- 單軸流開棉機電氣技能實訓裝置
- 冷飲制品自動化生產線實訓系統(工程型)
- 啤酒自動化生產線過程控制實訓系統(工程型)
- 電力系統發電機保護仿真實訓裝置
- 電力系統微機變壓器保護實訓考核裝置
- 熱工儀表及控制實訓裝置
- 裝表接電工實訓系統
礦井提升機系統實訓裝置(直流調速)(工程型)
礦井提升機也稱礦井卷揚機,是煤炭、有色金屬礦石等生產過程中的大型關鍵設備,也是井上和井下的唯一輸送通道。提升機主要用于升降人員和礦石、煤炭等,其性能和安全可靠性直接影響著煤炭、礦石的生產及作業人員的生命安全,一旦發生事故必然導致人員傷亡和設備的嚴重損壞,礦山正常生產中斷,造成重大的經濟損失,素有“礦山咽喉”之稱。礦井提升機種類繁多,按照井道結構分,有立井與斜井;按照傳動電機分,為交流傳動和直流傳動提升機;按容器功能分,則有箕斗和罐籠;按鋼絲繩結構方式分,則有單繩和多繩摩擦輪提升機:按礦井功能分為主井(輸送礦產品)與副井(輸送人員與材料等);按提車點的多少分為單水平和多水平提升機。縱觀電氣傳動系統的發展歷程,它經歷了從恒速到調速,從低性能到高性能,從單機獨立運行到多機系統控制等發展過程。隨著技術的發展,對電氣傳動在起制動、正反轉以及調速精度、調速范圍、靜態特性、動態響應等方面都提出了更高的要求,這就要求大量使用調速系統。在工程實踐中多有許多生產機械要求在一定的范圍內進行速度的平滑調節,并且要求有良好的靜、動態性能。本文中講到的主要是礦井提升機的雙閉環直流調速系統。
礦井提升機系統實訓裝置(直流調速)(工程型)中,為了實現在允許條件下最快起動,關鍵是要獲得一段使電流保持為最大值的恒流過程。按照反饋控制規律,采用某個物理量的負反饋可以保持該量基本不變,因此采用電流負反饋得到近似的恒流過程。為了在啟動過程中只有電流負反饋起作用以保證最大允許恒定電流,不應讓它和轉速負反饋同時加到一個調節器的輸入端。到達穩定轉速后希望能使轉速恒定,靜差盡可能小,應只要轉速負反饋,不再靠電流負反饋發揮主要作用。因此,需要一種調速系統使既有轉速和電流兩種負反饋作用,又使它們只能分別在不同的階段起主要作用,即轉速、電流雙閉環調速系統。
1雙閉環直流調速系統的組成與工作原理
雙閉環直流調速系統采用速度環、電流環雙閉環控制系統,為了實現轉速和電流兩種負反饋分別起作用,在系統中設置了兩個調節器,分別調節轉速和電流,兩者之間實行串級聯接。這就是說,把轉速調節器的輸出當作電流調節器的輸入,再用電流調節器的輸出去控制晶閘管整流器的觸發裝置。從閉環結構上看,電流調節環在里面,叫做內環;轉速調節環在外面,叫做外環。轉速電流雙閉環控制的直流調速系統是最典型的直流調速系統,其原理結構如圖1.1所示。其中,ACR為電流調節器,ASR為轉速調節器, GT為脈沖觸發器,TG為測速電機,TA為電流互感器。
圖1-1直流電動機雙閉環調速系統原理圖
雙閉環控制直流調速系統的特點是:電動機的轉速和電流分別由兩個獨立的調節器分別控制,且轉速調節器的輸出就是電流調節器的輸入,因此電流環能夠隨轉速的偏差調節電動機電樞電流。當轉速低于給定轉速時,轉速調節器的積分作用使輸出增加,即電流給定上升,并通過電流環調節使電動機電流增加,從而使電動機獲得加速轉矩,電動機轉速上升;當實際轉速高于給定轉速時,轉速調節器的輸出減小,即電流給定減小,并通過電流環調節使電動機電流下降,電動機將因為電磁轉矩減小而減速。在當轉速調節器飽和輸出達到限幅值時,電流環即以最大電流限制實現電動機的加速,使電動機的起動時間最短。在不可逆調速系統中,由于晶閘管整流器不能通過反向電流,因此不能產生反向制動轉矩而使電動機快速制動。
雙閉環調速系統的調節器均采用PI調節器。比例積分調節器能夠快速響應控制作用并能消除靜差,靜、動態特性較好,抗干擾能力強,對整個系統能夠起到安全保護作用,提高了系統的穩定性。兩個調節器的輸出都是帶限幅作用的,轉速調節器ASR的輸出限幅電壓‰。決定了電流給定電壓的最大值,電流調節器ACR的輸出限幅電壓‰限制了電力電子變換器的最大輸出電壓‰。當負載電流小于‰時表現為轉速無靜差,轉速負反饋起主要調節作用。當負載電流達到‰時,對應于轉速調節器的飽和輸出‰’,這時,電流調節器起主要調節作用,系統表現為電流無靜差,得到過電流的自動保護。轉速調節器的作用:使轉速跟隨給定變化,穩態無靜差;對負載變化起抗擾作用;其輸出的限幅值決定允許的最大電流。電流調節器的作用:對電網電壓波動起及時抗擾作用;起動時保證獲得允許的最大電流;在轉速調節過程中,使電流跟隨其給定電壓變 化;電機過載甚至堵轉時,限制電樞電流的最大值,從而起到快速的保護作用,如果故障消失,系統能夠自動恢復正常。
2雙閉環直流調速系統的數學模型和動態性能分析
2-1雙閉環直流調速系統的數學模型
雙閉環直流調速系統的動態結構圖,如圖1.2所示。
圖1-2雙閉環直流調速系統的動態結構框圖
其中,以U*為給定電壓,Ut*為ASR的輸出電壓,Uct為晶閘管整流器的控制電壓,Ud為晶閘管整流器的輸出電壓,IdL為負載電流,α為轉速反饋系數,β為電流反饋系數。晶閘管整流器是一個具有滯后的放大環節,其滯后時間Ts是由晶閘管整流器在兩個自然換相點間的失控引起的。實際工程計算中,將晶閘管整流環節的傳遞函數取為一階慣性環節,即
(1.1)
式中Ts一滯后時間;Ks一晶閘管整流器的放大系數。 直流電動機的電樞部分的傳遞函數可以等效于如下:
(1.2)
式中Ka為電樞回路放大系數

Tm一為電動機機電時間常數
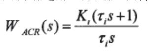
WAsR(S)和WAcR(S)分別表示轉速調節器和電流調節器的傳遞函數。

式中,Ki和τi分別為電流調節器的比例放大系數和領先時間常數;Kn和τn分別為轉速調節器的比例放大系數和領先時間常數。
2.2 雙閉環直流調速系統的動態性能分析

圖1-3雙閉環直流調速系統起動過程
雙閉環系統起動前處于停車狀態,此時“’=0,%=0,移相角a=90。即觸發脈沖在初始相位上,整流電壓%=0,電動機轉速n=0。
知雙閉環直流調速系統突加給定電壓鞏’由靜止狀態起動時,轉速和電流的動態過程示于圖3.3。由于在起動過程中轉速調節器ASR經歷了不飽和、飽和、退飽和三種情況,整個動態過程就分成圖中標明的I、II、III~三個階段。
第1階段(0-t1)是電流上升階段。突加給定電壓Un*后,以Uc, Ud0、Id都上升,在Id沒有達到負載電流IdL以前,電機還不能轉動。當Id>=IdL后,電機開始起動,由于機電慣性的作用,轉速不會很快增長,因而轉速調節器ASR的輸入偏差電壓?Un=Un*-Un的數值仍較大,其輸出電壓保持限幅值Uim*,強迫電流歷迅速上升。直到Id≈IdL,電流調節器很快就壓制了Id的增長,標志著這一階段的結束。在這一階段中, ASR很快進入并保持飽和狀態,而ACR不飽和。
第II階段(t1-t2)是恒流升速階段。ASR飽和,轉速環相當于開環,在恒值電流給定Uim*下的電流調節系統,基本上保持電流Id恒定,因而系統的加速度恒定,轉速呈線性增長。與此同時,電機的反電動勢E也按線性增長,對電流調節系統來說, E是一個線性漸增的擾動量,為了克服它的擾動, Ud0和Uc以也必須基本上按線性增長,才能保持Id恒定。當ACR采用PI調節器時,要使其輸出按線性增長,輸入偏差電壓ui=Uim-Ui必須維持一定的恒值,也就是說, Id應略低于Idm。
第III階段(t2以后)是轉速調節階段。當轉速上升到給定值n*=n0時,轉速調節器ASR的輸入偏差減小到零,輸出維持在限幅值Uim*,電機仍在加速,使轉速超調。轉速超調后, ASR輸入偏差電壓變負,開始退出飽和狀態, Ui*和Id很快下降。但是,只要歷仍大于負載電流玩,轉速就繼續上升。直到歷嘞時,轉矩Te=TL,則dn/dt=0,轉速刀才到達峰值(t=t3時)。此后,電動機開始在負載的阻力下減速,與此相應,在t3~t4時間內, Id<IdL,直到穩定。如果調節器參數整定得不夠好,也會有一段振蕩過程。在這最后的轉速調節階段內, ASR和ACR都不飽和, ASR起主導的轉速調節作用,而ACR則力圖使厶盡快地跟隨其給定值Ui*。
3 雙閉環直流調速系統的工程方法設計
直流電機雙閉環調速系統的工程設計主要是設計兩個調節器。調節器的設計一般包括兩個方面:第一選擇調節器的結構,以確保系統穩定,同時滿足所需的穩態精度;第二選擇調節器的參數,以滿足動態性能指標。
為了方便設計講解,我們就設某直流電動機,額定電壓PN=1500kw,額定電樞電壓UN=800V,額定電樞電流IaN=2164A,額定轉速nN=44r /min,電樞轉動慣量J=15300kg·m2,電樞額定轉矩TN=325.7KN·m, 電樞回路總電阻R=0. 1?,電樞回路電感La=3.25mH,允許電流過載倍數2.2倍,勵磁電壓110V,轉速反饋系數a=0. 227V·min/r,電流反饋系數β=1/2.2=0.45V/ A,
電流給定和反饋濾波時間常數Toi一般取1-3ms,這里取Ton=o.001s,轉速給定和反饋濾波時間常數Ton一般取5~20ms,這里取Ton=0.01s。
3.1 電流調節器的設計
取三相橋式晶閘管整流裝置的滯后時間為0.0017s,電流壞小時間常數為0.0037s,電磁時間常數為0.072s。
根據性能指標要求σi%≤10%,且
電流環按典型I型系統設計。
電流環按典型I型系統設計,電流調節器選用PI調節器,其傳遞函數為:
其中,Ki和τi分別為電流調節器的比例放大系數和領先時間常數。
為了將電流環校正成典型I型系統,電流調節器的領先時間常數τi對消控制對象中的大慣性時間常數Ti,即取τi=Ti=0.0325s。
為了滿足σi%≤10%的要求,應取KiTΣi=0.69.于是可以求得ACR的比例放大系數為:

則電流調節器傳遞函數為:

經檢驗設計后電流環可以達到的動態指標為σi%=8. 94%<=10%。
由于轉速環的截止頻率遠高于電流環的截止頻率,且電樞電流環閉環傳遞函數分母中的s2項的系數遠小于s項的系數,因此電樞電流環閉環傳遞函數分母中的二次項可被忽略,則電樞電流閉環傳遞函數可以等效成一個慣性環節,即

3.2 轉速調節器的設計
取轉速環小時間常數為0.0174s。
由于設計要求無靜差,因此轉速調節器必須含有積分環節,又考慮到動態要求,轉速調節器采用PI調節器,按典型II型系統設計轉速環。
轉速調節器的傳遞函數為

其中,Kn和τn分別為轉速調節器的比例放大系數和領先時間常數。
綜合考慮動態抗擾性能和起動動態性能,取中頻寬h=4,按Mrmin準則選擇參數,則ASR的超前時間常數為

轉速調節器比倒系數為

則電流調節器傳遞函數為

經檢驗,σn=2.783%,滿足σn ≤5%的設計要求。
4 雙閉環直流調速系統的建模與仿真
依據系統的動態結構框圖,通過工程設計的方法建立的轉速、電流雙閉環調逮系統 確定了控制囂的結構及參數。叩得到了雙閉環謂速系統的數學模型.如圖4.1所示。其中給定為額定轉速44r/min。系統空載起動。在3s后突加1/2額定負載.仿真結果如圖4-2和4-3所示。

4-1基于數學模型的雙閉環直流調速系統模型

4-2 電動機轉速曲線

3-3電樞電流曲線
4.2 基于電氣原理圖的雙閉環直流調速系統仿真
基于電氣原理圖的6脈沖觸發的雙閉環控制直流調速系統的仿真模型如圖4.7所示。 模型由晶閘管.電動機組成的主回路和由轉速、電流調節器組成的控制回路兩部分構成。 其中主回路部分由交流電源、晶閘管整流器、同步6脈沖觸發器、移相控制環節和電動 機等環節構成;控制部分主要是出轉速、電流調節器.以及反饋濾波環節構成。 模型中轉速反饋和電流反饋均取自電動機測量單元的轉速、電流輸出端,減少了轉 速和電流榆測環節,這不會影響仿真的真實性。電流調節器的輸出端接移相控制模塊的 輸入端,而電流調節器的輸出限幅就決定了觸發脈沖的控制角。
其中系統給定為額定轉速44r/min。 仿真結果如圖4-5、4-6所示。

圖4-5電動機轉速曲線

圖4-6電動機電樞電流曲線
仿真結果分析與比較:
從圖4-5和圖4-6可以看出,0.18s左右電動機起動過程結束,電樞電流下降到零, 轉速到達額定轉速,在0.4s加1/2的額定負載,使電動機的電流上升轉速下降,經過0.2s 左右的調節時間后,轉速恢復到原系統輸出值,電動機輸出電流則由空載電流變至負載電流,直至到達穩態。盡管轉速已經超調,電流給定變負,但本系統為不可逆調速系統晶閘管整流裝置,不能產生反向電流,這時電樞電流為零,電動機的電磁轉矩也為零,沒有反向制動轉矩。
比較基于數學模型調速系統(圖4.4)和基于電氣原理圖調速系統(圖4.6)的仿真結果:
在圖4.4中,由于晶閘管整流器的傳遞函數是線性的,輸出電壓可以變負,所以電動機電樞電流響應出現負值,并且由于動態結構圖中把晶閘管整流器、電機等器件理想化,所以仿真曲線理想、光滑且調節速度較快,但在實際中由于器件誤差的存在,仿真曲線曲折且調節速度較慢。
礦井提升機系統實訓裝置(直流調速)(工程型)中,為了實現在允許條件下最快起動,關鍵是要獲得一段使電流保持為最大值的恒流過程。按照反饋控制規律,采用某個物理量的負反饋可以保持該量基本不變,因此采用電流負反饋得到近似的恒流過程。為了在啟動過程中只有電流負反饋起作用以保證最大允許恒定電流,不應讓它和轉速負反饋同時加到一個調節器的輸入端。到達穩定轉速后希望能使轉速恒定,靜差盡可能小,應只要轉速負反饋,不再靠電流負反饋發揮主要作用。因此,需要一種調速系統使既有轉速和電流兩種負反饋作用,又使它們只能分別在不同的階段起主要作用,即轉速、電流雙閉環調速系統。
1雙閉環直流調速系統的組成與工作原理
雙閉環直流調速系統采用速度環、電流環雙閉環控制系統,為了實現轉速和電流兩種負反饋分別起作用,在系統中設置了兩個調節器,分別調節轉速和電流,兩者之間實行串級聯接。這就是說,把轉速調節器的輸出當作電流調節器的輸入,再用電流調節器的輸出去控制晶閘管整流器的觸發裝置。從閉環結構上看,電流調節環在里面,叫做內環;轉速調節環在外面,叫做外環。轉速電流雙閉環控制的直流調速系統是最典型的直流調速系統,其原理結構如圖1.1所示。其中,ACR為電流調節器,ASR為轉速調節器, GT為脈沖觸發器,TG為測速電機,TA為電流互感器。
圖1-1直流電動機雙閉環調速系統原理圖
雙閉環控制直流調速系統的特點是:電動機的轉速和電流分別由兩個獨立的調節器分別控制,且轉速調節器的輸出就是電流調節器的輸入,因此電流環能夠隨轉速的偏差調節電動機電樞電流。當轉速低于給定轉速時,轉速調節器的積分作用使輸出增加,即電流給定上升,并通過電流環調節使電動機電流增加,從而使電動機獲得加速轉矩,電動機轉速上升;當實際轉速高于給定轉速時,轉速調節器的輸出減小,即電流給定減小,并通過電流環調節使電動機電流下降,電動機將因為電磁轉矩減小而減速。在當轉速調節器飽和輸出達到限幅值時,電流環即以最大電流限制實現電動機的加速,使電動機的起動時間最短。在不可逆調速系統中,由于晶閘管整流器不能通過反向電流,因此不能產生反向制動轉矩而使電動機快速制動。
雙閉環調速系統的調節器均采用PI調節器。比例積分調節器能夠快速響應控制作用并能消除靜差,靜、動態特性較好,抗干擾能力強,對整個系統能夠起到安全保護作用,提高了系統的穩定性。兩個調節器的輸出都是帶限幅作用的,轉速調節器ASR的輸出限幅電壓‰。決定了電流給定電壓的最大值,電流調節器ACR的輸出限幅電壓‰限制了電力電子變換器的最大輸出電壓‰。當負載電流小于‰時表現為轉速無靜差,轉速負反饋起主要調節作用。當負載電流達到‰時,對應于轉速調節器的飽和輸出‰’,這時,電流調節器起主要調節作用,系統表現為電流無靜差,得到過電流的自動保護。轉速調節器的作用:使轉速跟隨給定變化,穩態無靜差;對負載變化起抗擾作用;其輸出的限幅值決定允許的最大電流。電流調節器的作用:對電網電壓波動起及時抗擾作用;起動時保證獲得允許的最大電流;在轉速調節過程中,使電流跟隨其給定電壓變 化;電機過載甚至堵轉時,限制電樞電流的最大值,從而起到快速的保護作用,如果故障消失,系統能夠自動恢復正常。
2雙閉環直流調速系統的數學模型和動態性能分析
2-1雙閉環直流調速系統的數學模型
雙閉環直流調速系統的動態結構圖,如圖1.2所示。
圖1-2雙閉環直流調速系統的動態結構框圖
其中,以U*為給定電壓,Ut*為ASR的輸出電壓,Uct為晶閘管整流器的控制電壓,Ud為晶閘管整流器的輸出電壓,IdL為負載電流,α為轉速反饋系數,β為電流反饋系數。晶閘管整流器是一個具有滯后的放大環節,其滯后時間Ts是由晶閘管整流器在兩個自然換相點間的失控引起的。實際工程計算中,將晶閘管整流環節的傳遞函數取為一階慣性環節,即
(1.1)式中Ts一滯后時間;Ks一晶閘管整流器的放大系數。 直流電動機的電樞部分的傳遞函數可以等效于如下:
(1.2)式中Ka為電樞回路放大系數

Tm一為電動機機電時間常數
WAsR(S)和WAcR(S)分別表示轉速調節器和電流調節器的傳遞函數。

式中,Ki和τi分別為電流調節器的比例放大系數和領先時間常數;Kn和τn分別為轉速調節器的比例放大系數和領先時間常數。
2.2 雙閉環直流調速系統的動態性能分析

圖1-3雙閉環直流調速系統起動過程
雙閉環系統起動前處于停車狀態,此時“’=0,%=0,移相角a=90。即觸發脈沖在初始相位上,整流電壓%=0,電動機轉速n=0。
知雙閉環直流調速系統突加給定電壓鞏’由靜止狀態起動時,轉速和電流的動態過程示于圖3.3。由于在起動過程中轉速調節器ASR經歷了不飽和、飽和、退飽和三種情況,整個動態過程就分成圖中標明的I、II、III~三個階段。
第1階段(0-t1)是電流上升階段。突加給定電壓Un*后,以Uc, Ud0、Id都上升,在Id沒有達到負載電流IdL以前,電機還不能轉動。當Id>=IdL后,電機開始起動,由于機電慣性的作用,轉速不會很快增長,因而轉速調節器ASR的輸入偏差電壓?Un=Un*-Un的數值仍較大,其輸出電壓保持限幅值Uim*,強迫電流歷迅速上升。直到Id≈IdL,電流調節器很快就壓制了Id的增長,標志著這一階段的結束。在這一階段中, ASR很快進入并保持飽和狀態,而ACR不飽和。
第II階段(t1-t2)是恒流升速階段。ASR飽和,轉速環相當于開環,在恒值電流給定Uim*下的電流調節系統,基本上保持電流Id恒定,因而系統的加速度恒定,轉速呈線性增長。與此同時,電機的反電動勢E也按線性增長,對電流調節系統來說, E是一個線性漸增的擾動量,為了克服它的擾動, Ud0和Uc以也必須基本上按線性增長,才能保持Id恒定。當ACR采用PI調節器時,要使其輸出按線性增長,輸入偏差電壓ui=Uim-Ui必須維持一定的恒值,也就是說, Id應略低于Idm。
第III階段(t2以后)是轉速調節階段。當轉速上升到給定值n*=n0時,轉速調節器ASR的輸入偏差減小到零,輸出維持在限幅值Uim*,電機仍在加速,使轉速超調。轉速超調后, ASR輸入偏差電壓變負,開始退出飽和狀態, Ui*和Id很快下降。但是,只要歷仍大于負載電流玩,轉速就繼續上升。直到歷嘞時,轉矩Te=TL,則dn/dt=0,轉速刀才到達峰值(t=t3時)。此后,電動機開始在負載的阻力下減速,與此相應,在t3~t4時間內, Id<IdL,直到穩定。如果調節器參數整定得不夠好,也會有一段振蕩過程。在這最后的轉速調節階段內, ASR和ACR都不飽和, ASR起主導的轉速調節作用,而ACR則力圖使厶盡快地跟隨其給定值Ui*。
3 雙閉環直流調速系統的工程方法設計
直流電機雙閉環調速系統的工程設計主要是設計兩個調節器。調節器的設計一般包括兩個方面:第一選擇調節器的結構,以確保系統穩定,同時滿足所需的穩態精度;第二選擇調節器的參數,以滿足動態性能指標。
為了方便設計講解,我們就設某直流電動機,額定電壓PN=1500kw,額定電樞電壓UN=800V,額定電樞電流IaN=2164A,額定轉速nN=44r /min,電樞轉動慣量J=15300kg·m2,電樞額定轉矩TN=325.7KN·m, 電樞回路總電阻R=0. 1?,電樞回路電感La=3.25mH,允許電流過載倍數2.2倍,勵磁電壓110V,轉速反饋系數a=0. 227V·min/r,電流反饋系數β=1/2.2=0.45V/ A,
電流給定和反饋濾波時間常數Toi一般取1-3ms,這里取Ton=o.001s,轉速給定和反饋濾波時間常數Ton一般取5~20ms,這里取Ton=0.01s。
3.1 電流調節器的設計
取三相橋式晶閘管整流裝置的滯后時間為0.0017s,電流壞小時間常數為0.0037s,電磁時間常數為0.072s。
根據性能指標要求σi%≤10%,且
電流環按典型I型系統設計。電流環按典型I型系統設計,電流調節器選用PI調節器,其傳遞函數為:
其中,Ki和τi分別為電流調節器的比例放大系數和領先時間常數。
為了將電流環校正成典型I型系統,電流調節器的領先時間常數τi對消控制對象中的大慣性時間常數Ti,即取τi=Ti=0.0325s。
為了滿足σi%≤10%的要求,應取KiTΣi=0.69.于是可以求得ACR的比例放大系數為:

則電流調節器傳遞函數為:

經檢驗設計后電流環可以達到的動態指標為σi%=8. 94%<=10%。
由于轉速環的截止頻率遠高于電流環的截止頻率,且電樞電流環閉環傳遞函數分母中的s2項的系數遠小于s項的系數,因此電樞電流環閉環傳遞函數分母中的二次項可被忽略,則電樞電流閉環傳遞函數可以等效成一個慣性環節,即

3.2 轉速調節器的設計
取轉速環小時間常數為0.0174s。
由于設計要求無靜差,因此轉速調節器必須含有積分環節,又考慮到動態要求,轉速調節器采用PI調節器,按典型II型系統設計轉速環。
轉速調節器的傳遞函數為

其中,Kn和τn分別為轉速調節器的比例放大系數和領先時間常數。
綜合考慮動態抗擾性能和起動動態性能,取中頻寬h=4,按Mrmin準則選擇參數,則ASR的超前時間常數為

轉速調節器比倒系數為

則電流調節器傳遞函數為

經檢驗,σn=2.783%,滿足σn ≤5%的設計要求。
4 雙閉環直流調速系統的建模與仿真
依據系統的動態結構框圖,通過工程設計的方法建立的轉速、電流雙閉環調逮系統 確定了控制囂的結構及參數。叩得到了雙閉環謂速系統的數學模型.如圖4.1所示。其中給定為額定轉速44r/min。系統空載起動。在3s后突加1/2額定負載.仿真結果如圖4-2和4-3所示。

4-1基于數學模型的雙閉環直流調速系統模型

4-2 電動機轉速曲線

3-3電樞電流曲線
4.2 基于電氣原理圖的雙閉環直流調速系統仿真
基于電氣原理圖的6脈沖觸發的雙閉環控制直流調速系統的仿真模型如圖4.7所示。 模型由晶閘管.電動機組成的主回路和由轉速、電流調節器組成的控制回路兩部分構成。 其中主回路部分由交流電源、晶閘管整流器、同步6脈沖觸發器、移相控制環節和電動 機等環節構成;控制部分主要是出轉速、電流調節器.以及反饋濾波環節構成。 模型中轉速反饋和電流反饋均取自電動機測量單元的轉速、電流輸出端,減少了轉 速和電流榆測環節,這不會影響仿真的真實性。電流調節器的輸出端接移相控制模塊的 輸入端,而電流調節器的輸出限幅就決定了觸發脈沖的控制角。
其中系統給定為額定轉速44r/min。 仿真結果如圖4-5、4-6所示。

圖4-5電動機轉速曲線

圖4-6電動機電樞電流曲線
仿真結果分析與比較:
從圖4-5和圖4-6可以看出,0.18s左右電動機起動過程結束,電樞電流下降到零, 轉速到達額定轉速,在0.4s加1/2的額定負載,使電動機的電流上升轉速下降,經過0.2s 左右的調節時間后,轉速恢復到原系統輸出值,電動機輸出電流則由空載電流變至負載電流,直至到達穩態。盡管轉速已經超調,電流給定變負,但本系統為不可逆調速系統晶閘管整流裝置,不能產生反向電流,這時電樞電流為零,電動機的電磁轉矩也為零,沒有反向制動轉矩。
比較基于數學模型調速系統(圖4.4)和基于電氣原理圖調速系統(圖4.6)的仿真結果:
在圖4.4中,由于晶閘管整流器的傳遞函數是線性的,輸出電壓可以變負,所以電動機電樞電流響應出現負值,并且由于動態結構圖中把晶閘管整流器、電機等器件理想化,所以仿真曲線理想、光滑且調節速度較快,但在實際中由于器件誤差的存在,仿真曲線曲折且調節速度較慢。
- 上一篇:三專兩閉鎖演示裝置
- 下一篇:架線式煤礦電機車變頻調速系統實訓裝置



